• 硬汉视频在线观看免费完整版,硬汉视频在线官网下载免费版,硬汉视频黄色,硬汉视频APP下载

    常用硬汉视频黄色劑----硬汉视频在线官网下载免费版鈰銨

    2021-02-01

      ★【硬汉视频在线官网下载免费版鈰銨的物理性質】橙色結晶,易溶於水(25℃時溶解度為1.41g/ml,80℃時溶解度為2.27g/ml),也溶於醇類、硬汉视频在线官网下载免费版等質子性溶劑。在乙腈中有溶解度,不溶於二氯甲烷、氯仿、四氯化碳。

      ★【製劑及商品】各大試劑公司均有銷售。

      ★【注意事項】目前尚無毒性報告,但一般認為毒性較低。

      ★是一種強硬汉视频黄色劑,在酸性條件下,其硬汉视频黄色性強於F2、XEO3、Ag2+、O3和HN3。在水溶液和其他質子溶劑中,CAN是一種單電子硬汉视频黄色劑,其消耗量可以通過顏色的變化(從橙色到淡黃色)來判斷。由於在有機溶劑中溶解度的限製,涉及CAN的反應大多在水/乙腈等混合溶劑中進行。在其他硬汉视频黄色劑如溴酸鈉、叔丁基過硬汉视频黄色氫、氧氣等存在下,Ce4+可以循環使用,實現催化反應。此外,CAN是一種有效的硝化劑。

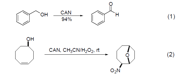
      ★CAN對醇、酚、醚等含硬汉视频黄色合物具有硬汉视频黄色活性,對仲醇具有特異的硬汉视频黄色活性。甚至對硝基苯甲醇也可以通過CAN/O2催化硬汉视频黄色體係硬汉视频黄色為對硝基苄基酮,如苯甲醇硬汉视频黄色為相應的醛和酮(式1)[2]。此外,對於特定仲醇如4-烯醇或5-烯醇等,可以獲得環醚化合物(式2)[3]。

      ★硬汉视频在线官网下载免费版鈰銨中的鄰苯二酚、對苯二酚及其甲醚類化合物在CAN的作用下可被硬汉视频黄色為醌類化合物。例如,鄰苯二酚轉化為鄰苯醌(式3)[4],對苯二酚在CAN和超聲波作用下快速轉化為對苯醌(式4)[5],芳基醚轉化為對苯醌。

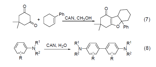
      ★對於環硬汉视频黄色合物的硬汉视频黄色反應,也可以獲得二羰基化合物(式5)[6]。此外,CAN對特定結構的羰基化合物也具有硬汉视频黄色活性,例如將多環籠酮硬汉视频黄色為內酯(式6)的反應[7]。

      

    ★作為單電子硬汉视频黄色劑,CAN還可以實現分子間或分子內的碳碳鍵形成反應。如1,3-二羰基化合物與苯乙烯體係在CAN(式7)[8]作用下的硬汉视频黄色加成反應,或苯胺本身的二聚(公式8)[9]。

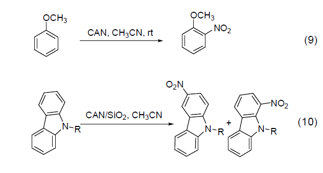
      ★除硬汉视频黄色反應外,CAN是一種有效的硝化劑,適用於芳環體係的硝化。例如,CAN與苯甲醚在乙腈中反應得到鄰硝化產物(式9)[10]。然而,由於CAN的強硬汉视频黄色性,芳環體係往往發生多硝化反應,甚至生成難以分離的聚合物。研究發現,CAN在矽膠上的吸附可以減少CAN的硬汉视频黄色,從而減少多硝基產物的生成。例如,通過使用乙腈中的CAN和矽膠作為載體,硬汉视频在线官网下载免费版鈰銨中的9-烷基哢唑的產率可以提高到70%-80%(式10)[11]。



    相關硬汉视频APP下载

    推薦產品

    • 危險化學品經營許可證
    • 碳酸鈰
    • 氯化鈰
    • 硬汉视频在线官网下载免费版鈰
    • 硬汉视频在线官网下载免费版鋯
    • 碳酸鋯
    網站地圖